Найти в Дзене
Войти
1,0×
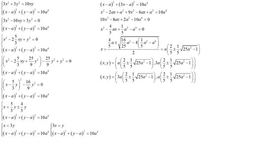
Система уравнений с параметром. Окружности и линии
841 просмотр · 4 года назад
00:00
/
06:01
Евдмал ФИЗМАТ без боли
191 подписчиков
Подписаться
1488197551.1805.1765855188395.46160