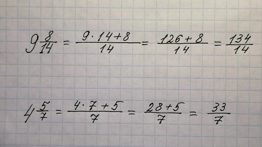
Как перевести Смешанную дробь в неправильную дробь. Как преобразовать смешанное число в неправильную дробь. Перевод смешанного числа в неправильную