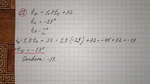
12) Чтобы перевести значение температуры по шкале Цельсия в шкалу Фаренгейта, пользуются формулой tF=1,8tC+32, где tC- температура в градусах Цельсия