Найти в Дзене
Войти
1,0×
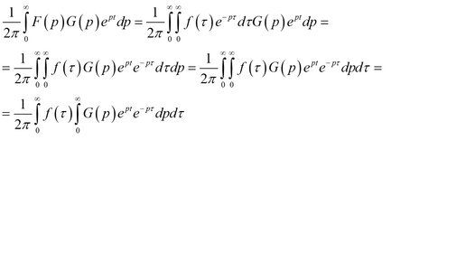
Преобразование Лапласа Умножение изображений Теорема Бореля
523 просмотра · 5 лет назад
00:00
/
02:46
Евдмал ФИЗМАТ без боли
191 подписчиков
Подписаться
2828632655.2001.1766476098655.91923