Найти в Дзене
Войти
1,0×
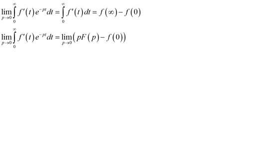
Преобразование Лапласа Связь начальных и конечных значений оригинала и изображения
356 просмотров · 5 лет назад
00:00
/
04:46
Евдмал ФИЗМАТ без боли
191 подписчиков
Подписаться
2623975490.2013.1766491297687.11782