Найти в Дзене
Войти
1,0×
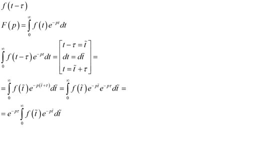
Преобразование Лапласа Запаздывание и смещение
401 просмотр · 5 лет назад
00:00
/
02:34
Евдмал ФИЗМАТ без боли
191 подписчиков
Подписаться
3552684348.1929.1766424388019.41657