Найти в Дзене
Войти
1,0×
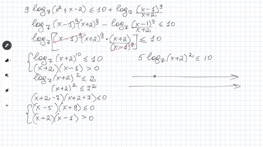
Математика ЕГЭ. C3. Логарифмические неравенства
47 просмотров · 5 лет назад
00:00
/
05:19
Бабушкин Георгий
145 подписчиков
Подписаться
1914414622.788.1776430295506.26957