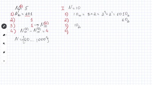
Информатика ЕГЭ. № 5. Анализ и построение алгоритмов для исполнителей. Посимвольное двоичное преобразование