Найти в Дзене
Войти
1,0×
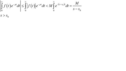
Преобразование Лапласа Определение
355 просмотров · 5 лет назад
00:00
/
03:22
Евдмал ФИЗМАТ без боли
190 подписчиков
Подписаться
4212918994.1794.1765580827880.70002