Найти в Дзене
Войти
1,0×
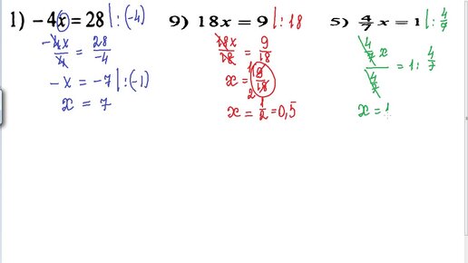
Решение простейших линейных уравнений за 3 минуты #shortsolve
331 просмотр · 4 года назад
00:00
/
02:58
Уроки физики и математики
12 подписчиков
Подписаться
788354019.1793.1759661608192.67833