Найти в Дзене
Войти
1,0×
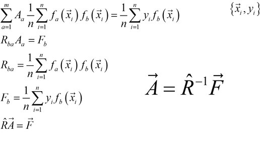
Обобщенный метод наименьших квадратов
605 просмотров · 5 лет назад
00:00
/
12:04
Евдмал ФИЗМАТ без боли
190 подписчиков
Подписаться
3989393048.1800.1765584214970.34124