Найти в Дзене
Войти
1,0×
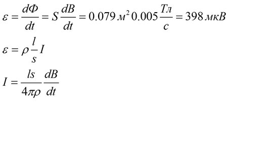
Ток в кольце из-за переменного магнитного поля
2319 просмотров · 5 лет назад
00:00
/
03:37
Евдмал ФИЗМАТ без боли
193 подписчиков
Подписаться
393619533.1065.1776908173652.37304