Найти в Дзене
Войти
1,0×
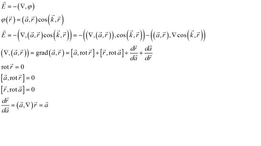
Типичные электрические поля
826 просмотров · 5 лет назад
00:00
/
12:11
Евдмал ФИЗМАТ без боли
194 подписчиков
Подписаться
4212918994.1007.1779932901641.37590