Найти в Дзене
Войти
1,0×
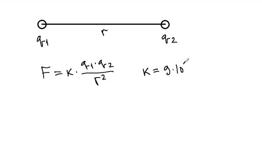
Закон Кулона за 2 минуты
1475 просмотров · 5 лет назад
00:00
/
02:08
ВЛАДИМИР. МАТЕМАТИКА И ФИЗИКА
1906 подписчиков
Подписаться
3746239397.1795.1765592915636.69177