Найти в Дзене
Войти
1,0×
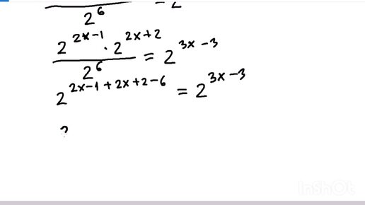
Решение уравнения с показательной функцией - 2. Готовимся к ЕГЭ
1857 просмотров · 5 лет назад
00:00
/
02:33
ВЛАДИМИР. МАТЕМАТИКА И ФИЗИКА
1906 подписчиков
Подписаться
Хотите видеть больше публикаций по теме «Образование»?
Давайте
Образование
4,84 млн интересуются
Следить за темой
2795507249.1336.1776700372536.70724