Найти в Дзене
Войти
1,0×
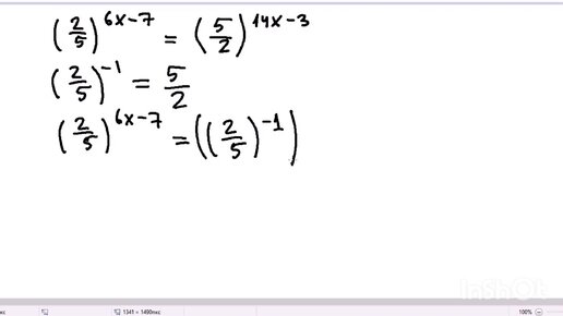
Разбор типового уравнения с показательной функцией. Готовимся к ЕГЭ
947 просмотров · 5 лет назад
00:00
/
02:03
ВЛАДИМИР. МАТЕМАТИКА И ФИЗИКА
1906 подписчиков
Подписаться
Хотите видеть больше публикаций по теме «Образование»?
Давайте
Образование
4,84 млн интересуются
Следить за темой
3067853769.755.1776658543265.27672