Найти в Дзене
Войти
1,0×
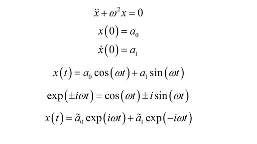
Уравнение колебаний без потерь
205 просмотров · 5 лет назад
00:00
/
05:56
Евдмал ФИЗМАТ без боли
188 подписчиков
Подписаться
663200271.1638.1759751716404.55230