Найти в Дзене
Войти
1,0×
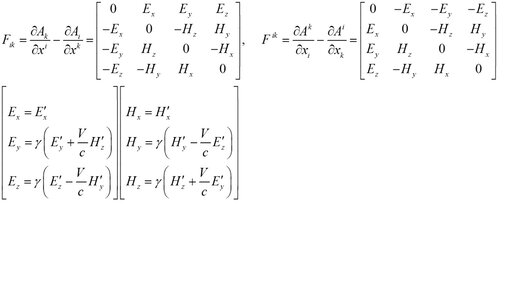
Инварианты тензора электромагнитного поля
1056 просмотров · 5 лет назад
00:00
/
07:16
Евдмал ФИЗМАТ без боли
191 подписчиков
Подписаться
4115969453.1764.1766338767406.24757