Найти в Дзене
Войти
1,0×
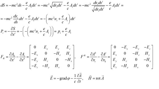
Тензор электромагнитного поля
1968 просмотров · 5 лет назад
00:00
/
15:26
Евдмал ФИЗМАТ без боли
193 подписчиков
Подписаться
3383007232.863.1775384684416.75186