Найти в Дзене
Войти
1,0×
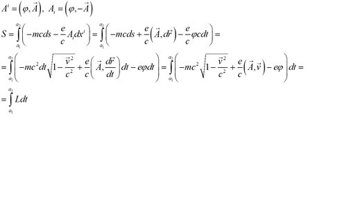
Гамильтониан заряженной частицы в электромагнитном поле
623 просмотра · 5 лет назад
00:00
/
04:41
Евдмал ФИЗМАТ без боли
191 подписчиков
Подписаться
3752607079.1320.1766529245900.91703