Найти в Дзене
Войти
1,0×
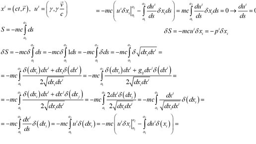
Принцип наименьшего действия в релятивистской физике
1406 просмотров · 5 лет назад
00:00
/
08:07
Евдмал ФИЗМАТ без боли
193 подписчиков
Подписаться
1342480941.991.1775228850526.25734