Найти в Дзене
Войти
1,0×
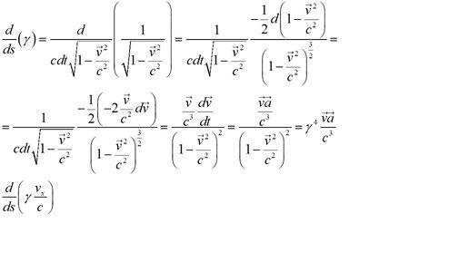
4-скорость и 4-ускорение
633 просмотра · 5 лет назад
00:00
/
08:35
Евдмал ФИЗМАТ без боли
193 подписчиков
Подписаться
2500908459.855.1775355769637.55397