Найти в Дзене
Войти
1,0×
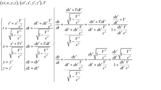
Преобразование Лоренца, сложение скоростей и аберрация
484 просмотра · 5 лет назад
00:00
/
05:04
Евдмал ФИЗМАТ без боли
188 подписчиков
Подписаться
611851715.1691.1761263039603.50582