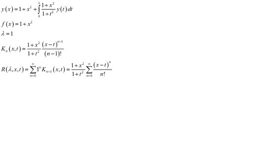
Пример решения интегрального уравнения Вольтерра второго рода методом резольвенты или разрешающего ядра