Найти в Дзене
Войти
1,0×
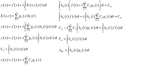
Уравнение Фредгольма 2 рода с вырождением
806 просмотров · 5 лет назад
00:00
/
02:51
Евдмал ФИЗМАТ без боли
193 подписчиков
Подписаться
3403818743.941.1776491896564.89611