Найти в Дзене
Войти
1,0×
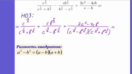
Упрощение выражения, содержащего степени с рациональными показателями. 10 класс. Консультация
1333 просмотра · 5 лет назад
00:00
/
04:31
matematik-as
361 подписчиков
Подписаться
614643549.1804.1759442699421.93312