Найти в Дзене
Войти
1,0×
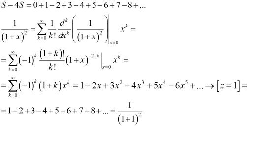
Ряд натуральных чисел
169 просмотров · 5 лет назад
00:00
/
04:14
Евдмал ФИЗМАТ без боли
188 подписчиков
Подписаться
2135335172.1628.1761562297807.34070