Найти в Дзене
Войти
1,0×
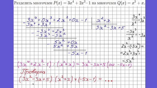
Деление многочленов уголком — 2
1585 просмотров · 5 лет назад
00:00
/
07:20
matematik-as
362 подписчиков
Подписаться
1914414622.1722.1765577064799.25573