Найти в Дзене
Войти
1,0×
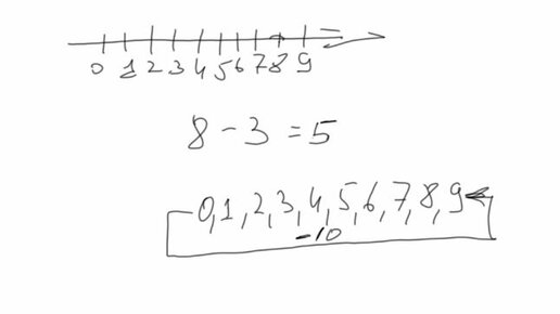
Вычитание чисел в позиционных системах счисления: способ механического счётчика
1054 просмотра · 5 лет назад
00:00
/
19:59
Товарищ учитель
228 подписчиков
Подписаться
4001320876.1614.1765981151514.30085