Найти в Дзене
Войти
1,0×
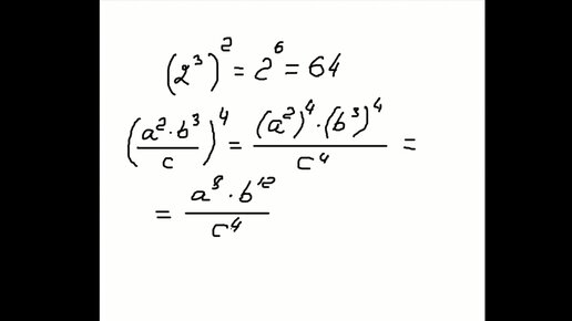
Действия со степенями. Формулы, примеры, правила
2747 просмотров · 5 лет назад
00:00
/
20:12
Totangens
279 подписчиков
Подписаться
350479030.1722.1765642182455.85399