Найти в Дзене
Войти
1,0×
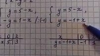
Любое уравнение можно решить графическим способом. Просто и правильно.
64 просмотра · 5 лет назад
00:00
/
05:44
Викуля Вайка
4 подписчиков
Подписаться
1488197551.2019.1765927238927.59739