Найти в Дзене
Свойства сред

Свойства сред

Статьи, посвящённые расчёту теплофизических параметров сред
подборка · 10 материалов
293 читали · 3 года назад
Модуль для расчёта свойств влажного воздуха
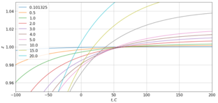
В модуль на Python wetairprops версии 2.2.4 (ссылка на скачивание внизу) включены функции, позволяющие определить следующие свойства влажного воздуха в диапазоне температур от -100 С до +200 С: Так же в модуле имеются функции для расчёта температуры насыщения и давления насыщения (упругости) водяного пара. На основе данного модуля был создан навык Алисы "Свойства влажного воздуха" (см. [2]). Ниже приведены результаты использования функций из модуля wetairprops версии 2...
297 читали · 4 года назад
Пакет для расчёта теплофизических свойств воды и водяного пара
Пакет wsprops (ссылка на скачивание внизу статьи) содержит классы, позволяющие определить теплофизические свойства воды и водяного пара в областях 1, 2 и частично 4 (в диапазоне давлений 611,213 Па - 16,529 МПа) (см. рисунок ниже). Методика расчёта взята из [1] и [2]. Определяемые теплофизические свойства: T - температура, К; p - абсолютное давление, Па; h - удельная энтальпия, Дж/кг; s - удельная энтропия, Дж/кг/К; cp - удельная изобарная теплоёмкость, Дж/кг/К; cv - удельная изохорная теплоёмкость,...
1228 читали · 5 лет назад
Расчёт температуры мокрого термометра
Температурой мокрого термометра называют температуру, которую имеет влажный воздух на стадии полного насыщения в процессе испарения воды без подвода теплоты извне при постоянной энтальпии. Чем выше температура воздуха и ниже его относительная влажность, тем на большую величину отличается температура мокрого термометра от температуры воздуха (температуры сухого термометра). В модуль на Python wetairprops (скачать) включены следующие функции для определение теплофизических свойств влажного воздуха : 1) calc_t_wb(t, RH, p=101325) - расчёт температуры влажного термометра по температуре, относительной...