Решение рационального уравнения под Вивальди.
Уравнения, все виды.
Решение всех видов уравнений, фишки, тонкости.
подборка · 12 материалов
Эти 3 шага позволят решать на 5 дробные рациональные уравнения.
Наблюдали, что одни ребята справляются с заданиями легко, а другие тратят много времени и сил? Причина — в наличии отработанной схемы решения. Сегодня я её вам открою. Вы освоите способ, позволяющие избежать частых ошибок новичков. Посмотрим на пример. Разберем решение дробного рационального уравнения. 1. Найдем ОДЗ. Знаменатели дробей не должны быть равны нулю. 2. Приведем дроби к общему знаменателю. 3. Запишем все под общую дробь, а затем сформируем квадратное уравнение...
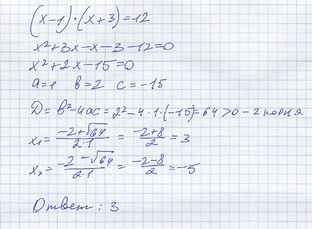
Одна из самых распространенных ошибок при решении квадратного уравнения.
Поговорим о самой распространенной на мой взгляд ошибке при решении квадратных уравнений. Школьники делают много ошибок при решении таких уравнений, но эта самая частая. Больше важной информации, анонсы и фишки в моем ТГ канале или в МАХ. Полные разборы, видео и статьи здесь- в Дзен. Итак разбор ошибки. При нахождении дискриминанта многие школьники, когда коэффициент "В" отрицательный, забывают, или из-за отсутствия практики не знают, что "минус умноженный на минус дают плюс", как показано в строчке "должно быть"...
Запомни 3 шага в решении дробных уравнений и не получай "двойки" 8 классе.
Продолжаю разбирать типажи дробных рациональных уравнений, с которыми проблемы у большинства восьмиклассников. Сегодня разберем типаж вот такой, когда в дробном уравнении есть одночлен без дроби. Другие типажи рассмотрены мной на этом канале Дзен. Не забудьте подписаться. Анонсы всех моих публикаций я размещаю в телеге и в МАХ. Разберем для примера уравнение под буквой "д". Не забываем про ОДЗ. В варианте 1 приводим дроби к общему знаменателю. Приходим к квадратному уравнению и решаем через дискриминант...