80 % школьников теряют баллы на этом простом геометрическом задании задании из ОГЭ.
Решение заданий ОГЭ.
Короткие уроки с решением заданий ОГЭ.
подборка · 29 материалов
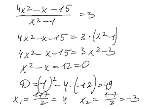
Решение 2 уравнений из билетов ОГЭ с дробями.
Привет, ну что, не все получается при подготовке к ОГЭ по математике? Тогда лови очередной разбор уравнений с дробями. Готовишься самостоятельно, тогда обязательно подпишись на мой канал дзен, здесь огромное количество разборов. Нужны классные репетиторы по другим предметам- заходи сюда. Репетиторы все быстро и качественно объяснят, без воды и в удобное время. Пробное занятие бесплатно. Помни, чтобы научиться решать самому-нужно побольше практики...
Загадка заданий с графиками в билетах ОГЭ.
Как проходит подготовка к ОГЭ? Вижу, что, что-то идет не так. Тогда держи крутые лайфхаки, которые реально помогут сделать задание с графиками. Не теряй меня и подписывайся на мой канал дзен, здесь много разборов на разные темы. Не успеваешь подготовиться к ОГЭ, ЕГЭ, контрольной или ВПР - залетай сюда! Репетиторы по любому предмету тебе все быстро и без воды объяснят Начинаем...