Обзор блока питания Formula V-Line APMM-1000GM
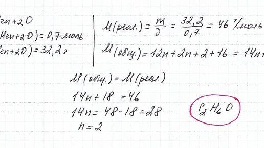
Секретная шпаргалка по химии. 5.1. Вывод формулы вещества по общей формуле класса
Уже который день моя статья "Тайны задач по химии? 1. Препарируем задачу ЕГЭ" вызывает нервные тики у вполне спокойных и уверенных в себе учителей. Не так они представляют себе решение задач. Им нужно, чтобы все было запутано и мало понятно, а на вопрос ученика: "Как решить задачу?" учитель, сделав умные глаза, отвечал бы: "Думай". А чем думать? Как думать? Куда думать? В какую сторону? Сие есть тайна великая! Однако, все тайное становится явным на вскрытии задач ЕГЭ. Вот и моя статья показала, какие приколы (фишки) для ЕГЭ по химии могут приготовить нашим детям сотрудники ФИПИ...
ТММ#5 Динамический анализ механизмов. Момент инерции маховика. Диаграмма Виттенбауэра
В задачи динамического анализа и синтеза механизмов входят: · установление режима работы механизма под действием внешних сил (окончательное установление требуемой мощности привода); · обеспечение заданного режима работы механизма (определение колебаний угловой скорости входного звена с последующим устранением этих колебаний). Для механизмов рабочих машин характерно наличие трех периодов его движения (рис. 5.1): - разбег Tр; - установившееся движение Tуд; - выбег Тв. В период разбега скорость входного...