Параметр, Уравнение с корнем, Подготовительные задачи, Задача 1.14, Математика, ОГЭ, ЕГЭ, Олимпиады
Об иерархии норм
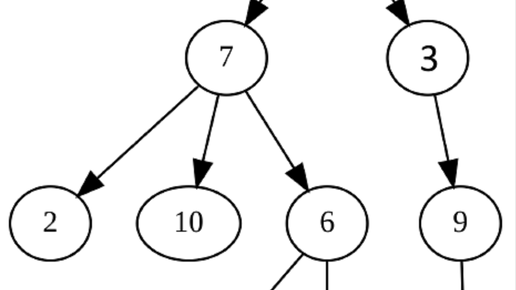
Чтобы избежать разговора взагалi по загалям, сразу же дам определение. Иерархической структурой является такая структура, которая может быть представлена в виде некоторого дерева, все рёбра которого являются направленными и одна из вершин которого имеет внутреннюю степень равную нулю. Внутренняя степень вершины это количество рёбер, которые входят в неё. Такую вершина иерархической структуры, у которой внутренняя степень равна нулю, называют корнем дерева. Множество деревьев именуют, естественно — лес...
«Грязная попрошайка не должна сидеть в моём кресле!» — заявила коллега, не подозревая, что отчитывает нового директора компании
Офисный комплекс «Вершина» встретил меня прохладным дыханием кондиционеров и невнятным, размеренным гулом множества голосов, сливавшихся в единый рабочий аккорд. После проливного осеннего дождя, обрушившегося на город с утра, мой старенький, видавший виды плащ промок насквозь, а небольшой зонт оказался совершенно бессилен перед порывистым ветром, вырывавшим его из рук. Я невольно поежилась, переступая порог, ощущая, как капли воды стекают с волос на лицо, а от моих туфель на идеально отполированном мраморном полу остаются неэстетичные мокрые следы...