3 супер способа прививки плодовых деревьев
СВДС и как с этим связаны прививки? Вакцинация.
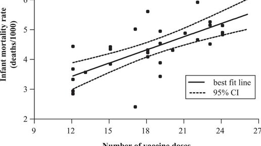
Писать об этом очень сложно. Это ужасный синдром, которого не пожелаешь никому в мире. Синдром внезапной детской смерти. Может быть вы слышали о таком "краем уха", но вряд ли вам кто-нибудь пояснял что это значит, причины СВДС и как с этим связана вакцинация...
Прививки – это биологическое оружие массового уничтожения людей
СУВЕРЕННАЯ СТРАНА – ©Я ЕСТЬ Страна жизнь АРиЯ – USSR
СУВЕРЕННОЕ ГОСУДАРСТВО – СГ АРиЯ -USSR – 13.04.2021- 13.04.2031 – https://ussr-aria.su/vid-na-zhitelstvo https://database.ipi.ch/database-client/register/deta.. https://drive.google.com/file/d/1L_z9ZrlTmoDwMG09XIr5.. https://www.google.com/maps/place/©Я+ЕСТЬ+Страна+жизн.. Мы живём в традиционном стиле добра, любви, созидания и любые насильственные изменения в цифровизацию категорически запрещены. Запрещено насилие, нарушение естественных прав, за что грозит наказание по Космическим законам – распад на атомы автоматически...