Как решать пределы с тригонометрией
Интересный математический предел с параметром. Сможете решить?
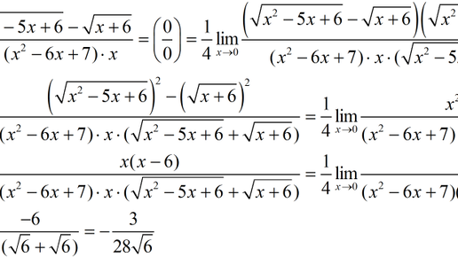
Недавно я наткнулся на интересную задачку, связанную с математическим пределом и параметром, который нужно найти. На мой взгляд, эту задачу должен уверенно решать 1 - 2 курс. Это если ориентироваться на программу физ-мата. Но, если вы учащийся школы, то вы также можете попробовать свои силы, так как ничего сверхсложного здесь не будет. Тем не менее, в задаче можно запутаться. А теперь к условию: Итак, остановитесь на этом моменте, возьмете черновик в руки и попробуйте решить самостоятельно. Аналитически, разумеется...