Я НЕ МОГУ ПЕРЕНОСИТЬ ЭТОТ ЗАПАХ/ШЬЮ/МУЖ ОТВЕЧАЕТ НА КОММЕНТАРИИ
О том, почему у фотона не оказалось массы и, собственно энергии. И почему нам не нужны ускорители.
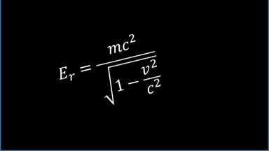
Ну, с ускорителями все просто. Поскольку Эйнштейн утверждает, что передается энергия, при этом полная энергия частицы, которая, по сути, не учитывает кинетическую, то достаточно получить электронное облако и стрельнуть по нему из электронной пушки. Абсолютно не важно, на какой скорости из пушки вылетят электроны (хоть 1м/с, а хоть бы и 200000м/с) энергии второй электрон получит 8.19*10^-14 Дж. Поскольку именно такова внутренняя энергия, приписанная электрону (mc^2). В результате скорость второго электрона, согласно энергии, которая эквивалент работе, окажется 300000000м/с...
Почему у каждого элемента свой "цветовой код" и как это помогает читать Вселенную?
В классическом представлении об атоме мы имеем группу протонов и нейтронов в середине атома и группу электронов, вращающихся вокруг них по различным орбитам. На самом деле атомы устроены иначе, но электроны существуют на различных энергетических уровнях как облака вероятности… или что-то в этом роде. Но сейчас думать просто об орбитах проще и это прекрасно подходит для ответа на основной вопрос. А основной вопрос, между прочим, очень даже важный. Слышали ли вы про спектральный анализ? Его используют в самых разных областях науки...