Горячий вопрос – Из чего складывается тариф за отопление?
Расчет 1/12 по отоплению. Правила и формула.
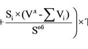
В статье «Почему мы платим за отопление круглый год?» мы с вами разобрали, что в соответствии с п. 42(1) Постановления Правительства РФ от 06.05.2011 N 354 (ред. от 13.07.2019) "О предоставлении коммунальных услуг собственникам и пользователям помещений в многоквартирных домах и жилых домов" , потребитель платит за отопление одним из двух способов: Первый метод расчета понятен и легко контролируется. Сняли показания за расчетный период, передали их в РСО и в следующем месяце получили платежку за переданные показания...
Эксперты разъяснили, почему платить за тепло приходится круглый год
Специалисты Госжилинспекции дали разъяснения по вопросам оплаты отопления в Волгоградской области. Как рассказали в ведомстве, почему приходится платить за отопление круглый год – самая частая формулировка в обращениях в надзорный орган. А дело в том, что федеральное законодательство допускает два варианта расчета платы – равными долями в течение всего года, либо в отопительный сезон*. Тот или иной способ выбирают в каждом регионе самостоятельно. «В Волгоградской области определено, что в Волгограде...