окислительные свойства азотной кислоты
Окислительные свойства азотной кислоты
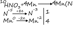
Азотная кислота является окислителем независимо от ее концентрации. Продукты восстановления, как и в случае с серной кислотой различаются в зависимости от активности восстановителя. Рассмотрим тот же самый ряд напряжений металлов: Металлы, расположенные в ряду напряжений до цинка включительно, восстанавливают азот до нитрата аммония: Металлы, стоящие от хрома до меди включительно восстанавливают...
Азотная кислота: мощный окислитель и аналитический инструмент
Азотная кислота: мощный окислитель и аналитический инструмент  HNO₃ — это не просто сильная кислота. В лаборатории азотная кислота — агрессивный окислитель, расщепляющий органику, растворяющий металлы и подготавливающий пробы к точному анализу.  🧪 Главное: Концентрированная HNO₃ — сильнейший окислитель. Даже разбавленная форма остаётся опасной и реакционно способной. В сочетании с соляной кислотой образует царскую водку — единственный реагент, растворяющий золото и платину.  Где применяется:  — В аналитической химии Используется для минерализации органических веществ перед определением содержания металлов...