2 года назад
Новый способ получения сплавов позволит «настраивать» их свойства даже после закалки
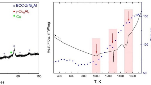
Ученые разработали формулу для производства высокопрочных сплавов с сохранением аморфного эффекта, когда материал обладает твердостью, но при этом лишен кристаллической решетки. Благодаря предложенному подходу форму и свойства материалов можно настраивать, сохраняя прочность. Это позволит дольше эксплуатировать сплавы в промышленности и использовать их вместо импортных материалов. Результаты исследования, поддержанного грантом Российского научного фонда (РНФ), опубликованы в журнале Intermetallics...
525 читали · 1 неделю назад
Полёт фантазии советских танкостроителей. Над какими проектами работало ВНИИ-100 в самом начале 60-х
Данная статья сделана по материалам Российского государственного архива экономики, а точнее по некогда совершенно секретной пояснительной записке к отчету московского филиала ВНИИ-100 (сейчас это Всероссийский научно-исследовательский институт транспортного машиностроения) за 3-й квартал 1961 года. В представленном материале анализируется распределение усилий инженеров института над решением задач, связанных с развитием танков в стране. Особое внимание уделяется не только начальным исследованиям...