1981 ВАЗ 2101 1.8 MT - Тест-драйв от первого лица
⚡️Tencent произвели революцию в сфере нейронного перевода — китайская компания представила Hunyuan-MT! Это открытый исходный код, который
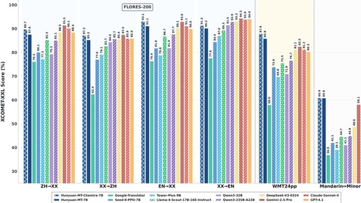
⚡️Tencent произвели революцию в сфере нейронного перевода — китайская компания представила Hunyuan-MT! Это открытый исходный код, который моментально занял лидирующие позиции во всех тестированиях. Основные особенности: 🔅 Доступны две модели — Hunyuan-MT-7B и Hunyuan-MT-Chimera-7B; 🔅 Поддержка 3️⃣3️⃣ языков; 🔅 Chimera-7B — первая в отрасли...
Group mt (group-mt.com) реальные Отзывы. Как вернуть деньги?
1) Завлекают яркой обёрткой
Сайт Group mt с первых секунд производит впечатление профессиональной платформы. Хороший дизайн, красивые графики доходности, обещания стабильного заработка и помощь персонального аналитика – всё это выглядит убедительно. Однако за этой внешней красотой скрываются совсем другие цели: обман и выкачивание денег из доверчивых пользователей. 2) Личные истории: от сомнений до осознания
«Меня убеждали вкладывать всё больше и больше. Сначала это были суммы по 6 000 рублей, затем 30 000, а потом и вовсе 65 000...