125 читали · 1 год назад
Крахмал и всё о нём
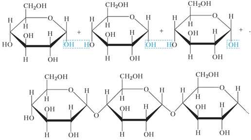
Почти все знают этот порошок обычно белого цвета, который растворяется в воде при готовке на кухне. Но не все знают, что производить это вещество, столь необходимое в кулинарии для сгущения продуктов, начали еще в Древней Греции и Римской империи. Первые упоминания о нем приходятся вроде как на 60-е годы до нашей эры. Промышленное изготовление пищевого крахмала начинается в Европе и приходится на начало шестнадцатого века. Крахмал – это органическое вещество, которое растения синтезируют в процессе фотосинтеза и используют в качестве запасного питательного вещества...
Кукурузный и картофельный крахмал: отличия и применение
Именно крахмал обычно используется для приготовления киселя или выпечки. Его используют для загущения разнообразных продуктов и блюд, заправок и соусов. Крахмал содержится практически во всех растениях...