1422 читали · 6 лет назад
Математика. Комплексные числа. Введение.
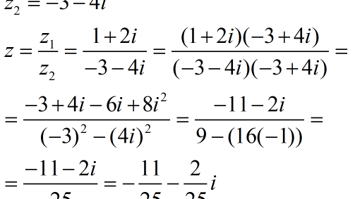
Начнём с самого важного - это название темы. Расставим правильно ударение, нужно говорить "комплЕксные числа", это очень важно. Как говорил один препод в универе: "обед у вас кОмплексный, а числа комплЕксные!". Если таких мелочей не знать, то математичка в ваших знаниях сильно усомнится. Комплексные числа являются одной из самой главных тем в теории чисел, считая что вещественные числа являются частным случаем. Они подразумевают под собой, что число состоит из действительной и мнимой частей. Записывается...
65,5 тыс читали · 6 лет назад
Как правильно – «договоры» или «договора», и куда ставить ударение?
Слово «договор» часто вызывает вопросы. Непонятно, и как его склонять, и куда ставить ударение во множественном числе. Сегодня мы выведем это слово на чистую воду. ДоговорЫ или договорА? К сожалению, в русском языке нет единого правила, по которому в словах формируется окончание - А (-Я) или - Ы (-И). Чтобы узнать правильный вариант, придется заглянуть в орфографический словарь и запомнить написание. В нашем случае правильно «договорЫ». Вариант через «А» запрещен и не относится даже к просторечным...