Статистика: доверительный интервал для коэффициента корреляции
Как рассчитать случайную погрешность прямого измерения
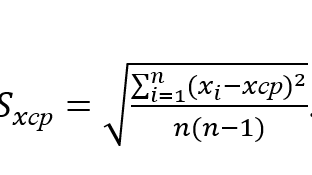
В статье представлен метод расчета случайной погрешности прямого измерения. К прямым измерениям относят нахождение величины из опытных данных с помощью прибора. К прямым измерениям можно отнести измерение длины линейкой, времени секундомером, объема цилиндром и так далее...
Критерий Стьюдента (t-критерий) - самый популярный критерий медицинской статистики
Медицинские исследования бывают разными, и с применением различных лабораторных методик: лабораторно-инструментальный и клинико-лабораторный метод, лабораторные исследования крови, почек и мочи, и многие другие. Их результаты представляют собой утверждение, которое имеет важное значение. Примеры: какой метод лучше для лечения болезни, каковы самые распространенные побочные эффекты хирургического вмешательства, действительно ли новое экспериментальное лекарство улучшает состояние организма, и каков...