Как вычислить корень любой степени? | Корень из n степени | Алгебра 9 класс | МегаШкола
Чо такое корень n-й степени?
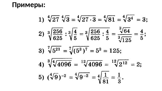
Корень n-й степени — это математическая операция, которая является обратной возведению в степень. Давайте разберем это понятие пошагово. Возведение в степень . Прежде чем говорить о корнях, важно понять, что такое возведение в степень. Если у нас есть число а и мы возводим его в степень n, это означает, что мы умножаем число а само на себя n раз. Например, а^n =а*а*... *а (n раз). Пример: 2^3 =2*2*2=8 Введение корня n-й степени. Корень п-й степени из числа — это такое число, которое при возведении в степень n дает исходное число...
ТОП-10 лучших презентаций по математике: Арифметический корень натуральной степени
Арифметический корень натуральной степени является фундаментальным понятием в математике, позволяющим извлекать корни из чисел в различных степенях, что широко применяется в алгебре, анализе и даже в практических расчетах. В 2025 году, с развитием технологий, интерес к визуализации и презентации этих концепций растет, поскольку интерактивные материалы помогают лучше понимать сложные математические операции. 1. ⭐ Арифметический корень натуральной степени 2. ⭐ Арифметический корень натуральной степени 3...