132 читали · 1 год назад
Вынесение множителя из-под знака корня
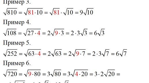
Сегодня на примере рассмотрим как вынести множитель из-под знака корня. Разложим число 8 на такие множители, чтобы один из них был квадратом. Подставим полученное выше произведение под знак корня. Такое преобразование называется вынесением множителя из-под знака корня...
13,9 тыс читали · 4 года назад
Как быстро в уме без калькулятора извлекать квадратные корни из больших чисел
Это умение очень пригодится на ЕГЭ и ОГЭ, потому как калькулятором пользоваться нельзя, подбором, умножая в столбик, получается долго и муторно, а в восьмой раз в туалет уже никто не выпустит. Так что...