✅ Очень просто и очень нужно! Измерение внутреннего сопротивления аккумулятора и батареи. ✅
ЕГЭ по физике. Задача 31 (20). Эдс и внутреннее сопротивление источника
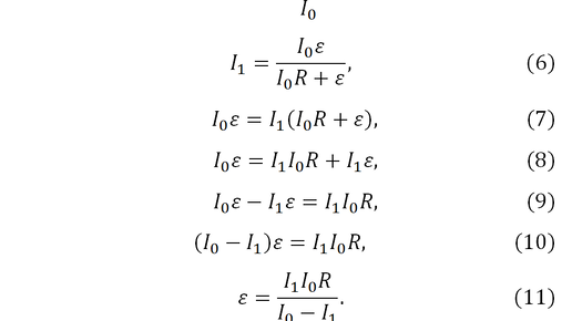
Полное условие задачи: Краткое условие задачи: Решение задачи: Запишем закон Ома для полной цепи для случая подключения внешнего элемента цепи и для случая короткого замыкания: Выразим из (1) внутренне сопротивление:...
Все о законе Ома: простыми словами с примерами для “чайников”
Закон Ома назван в честь своего открывателя это ученый Георг Симон Ом. Свои эксперименты в области электричества он начал вдохновляясь опытами Фурье. Ом проводил свои опыты с различными материалами и изучение их электропроводности. Так была разработана знаменитая формула, которая стала краеугольной в современной физике, которая вошла в школьные учебники: I=U/R. Сила тока пропорциональна величине напряжения и имеет обратную пропорциональность сопротивлению. В статье подробно разобраны области теории и практического применения принципов закона Ома в современной электротехнике...