1809 читали · 5 лет назад
Решение задач №12 Вычислить интеграл функции комплексной переменной.
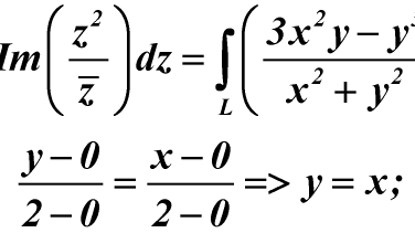
Доброго времени суток. На сегодняшнем разборе мы будем находить решение интеграла функции комплексной переменной. Достаточно необычное это дело. Весь интерес заключается в количестве проделанных действий, иначе говоря, необходимо помнить как минимум: способы проверки функций на аналитичность, элементарные преобразования с комплексными числами, решение криволинейных интегралов. Уверенно оперируя этими навыками с лёгкостью разберётесь и с данным примером: Главное не теряться при виде такого. А первым же делом выполнить проверку на аналитичность подинтегральной функции...
113 читали · 2 года назад
Интеграл на питоне (Сумма Римана)
В данной статье имеется ввиду определенный интеграл. Определенный интеграл - грубо говоря, площадь области на отрезке от а до б, находящейся между функцией и осью ОХ на координатной плоскости. Иначе можно сказать, что определенный интеграл - это площадь криволинейной трапеции. В школе учат вычислять интегралы с помощью формулы Ньютона-Лейбница: Первообразная функции - функция, производная которой даст исходную функцию. Например первообразная для функции 2х будет х в степени 2 (производная от х в квадрате будет 2х)...